Сборы в горы по Интернету. Типовые таблички.
На прошлой неделе я за пару дней обсчитал две экспедиции - двухнедельный поход 2 к.с. в горах Алая и 40-дневную экспедицию в высокие горы. Получилось быстро и непринужденно, благодаря старым наработкам - типовым табличкам продуктов питания и снаряжения.
Вот этими табличками, а также последовательностью своего расчета я и хочу поделиться с читателями. Итогом такого расчета являются три документа, которые я вывешиваю в Интернет и по которым собирается выезжающая в горы группа:
1. Сводная таблица закупок продуктов питания.
2. Таблица поручений по закупке продуктов питания.
3. Таблица распределения общественного снаряжения по рюкзакам.
А теперь опишу всю последовательность расчета.
Вся последующая информация абсолютно реальная и относится к предстоящему через 10 дней мероприятию. Изменены только имена участников. Расчет этот касается двухнедельного похода в горах Алая.
Сначала составляется:
1. Программа питания.

Начинаю с исчисления ресурсов. В данном мероприятии первые 8 дней отделены от последующих 7-ми дней заброской. Поэтому на первую часть мы берем десятидневный ресурс, прихватив с собой ресурс на два запасных дня.
Потом заполняю таблички, которые у меня валяются на компе. Изменяю только число людей, число дней и произвожу соответствующие умножения.
В результате создается:
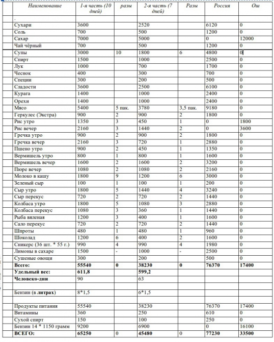
2. Сводная таблица закупок продуктов питания.
Как видите, не только продуктов питания, но и топлива тоже. В этой таблице содержится информация по каждому продукту, где он покупается, в Оше или в Москве, сколько его надо купить всего и как расфасовать и разделить между частями мероприятия.
Например, молоко в кашу покупается в Москве и фасуется так: 9 раз по 200 грамм на первую часть и 6 раз по 200 грамм на вторую часть.
Исходя из этой информации заполняется:
3. Таблица поручений по закупке продуктов питания.
Участникам объясняется, что кроме Таблицы поручений (3) следует посмотреть и Сводную таблицу (2), чтобы понять, как фасовать продукты.
Теперь переходим к таблице общественного снаряжения:
4. Таблица распределения общественного снаряжения по рюкзакам.
Заполняя эту таблицу надо учитывать расселение людей по палаткам и распределение по связкам. Ясно, что палатку и спальники должны нести те, кто спит в этой палатке и в спальниках. В каждой палатке должна быть аптечка. Горелки или примуса лучше распределить по разным палаткам и связкам, в каждой связке своя веревка и т.п...
На этом этапе меня могут обвинить в сексизме, в результате которого по отношению к девушкам, женщинам и подросткам мужского пола проявляется дискриминация. Им выдается меньшее количество снаряжения. Что вы и видите по таблице.
И, наконец, заполняются таблички контроля веса на посадку в самолёт и на самом протяженном участке маршрута:
5. Контроль веса в самолёте и на маршруте.
376
Комментарии:
Войдите на сайт или зарегистрируйтесь, чтобы оставить комментарий















У меня Линукс, я в Libre office их набираю.
10 дней до выезда...
Куча дел. :)
Вот в таком красивом и законченном виде я не готов представить информацию.
Однако цель этой заметки - упорядочить мозговой процесс.
Поэтому пусть пока будет в такой не совсем завершенной "ручной" форме.
Как эскизный проект к более совершенной работе.
Если кто-либо сделает всё это с автоматическими вычислениями в xls , то будет
БОЛЬШОЕ СПАСИБО!
:))
Это сборы в горы, это нужно группе независимо от других людей, кто бы они не были - родители, друзья или члены МКК.
Таблицы, кроме всего прочего, сразу вводят коэффициенты на мужской и женский рюкзак, считают средний вес рюкзака по групповому и личному снаряжению.
Пересмотрел их сейчас, пока вспоминал. Ваши оказываются не такими навороченными, но работать с ними немного проще.
В принципе, можно добавить к Вашим автоматическое вычисление по всем параметрам, это нетрудно. Если поделитесь файлами (можно даже .ods, я с LibreOffice дружу), то сделаю немного погодя .xls и .ods с зашитыми формулами.
Кстати, если в файле нет экзотических функций типа DEC2HEX, то проблем с сохранением в *.xls не будет.
Однозначно - в избранное.
Один уточняющий вопрос: для какой авиакомпании принята Вами норма веса 20б+7р ?
1. В графе «Всего» вес в граммах, ясно, но что за «Удельн. вес»? Где и как он находит применение?
2. Не много ли соли? Кажется норма 3-4 грамма на человека.
3. Что за пакеты с мясом, покупные?
4. В сводной таблице какой-то «зеленый сыр», но его нет в таблицах планирование обедов и ужинов. Какой-то особый сыр, не для всех?
5. Рыбы больше сала, а что 1440 грамм так точно покупается? И зачем лимоны мешать с сахаром, получается меньше лимонов берется.
6. И как это пакуется: по дням или просто по весу?
И все же поясните что за спирт: 2500 грамм? Часть вещей оставляется в Ош, даже очень необходимые, на мой взгляд. А из остального списка продуктов ничего нельзя купить в Ош?
2. Где норма 3-4 грамма? Дома при оффисной жизни? В Книжке Алексеева дается норма 10 грамм на человека в день.
3. Самодельное мясо. Говядина вываренная в сале и упакованная в тетрапаки из-под молока. Вкусно и не портится в азиатскую жару.
4. Зеленый сыр присутствует в программе питания в завтраках (позиция 9), там написано "сыр-порошок". Легко найдете в интернете по ключевым словам "Зеленый сыр".
5. Вяленая рыба горбуша продаётся в Ашане вакуумными упаковками (в пластике) по 80 грамм. 1440 грамм - это 18 упаковок.
6. Лимоны в сахаре - густая жидкость с дольками лимона для ароматизации разведенного спирта. Можно и без спирта, просто в чай. Лимонов меньше? Значит сахара больше. Пакуется в лавсановые бутылки с широкой крышкой.
7. Точнее 2500 миллилитров. Это этанол, одноатомный спирт, C2H5OH. Этот поход не заявлен на какие-либо чемпионаты - отдыхать идем! :)
8. Простите, не удалил колонку. Оставляем в Оше уже после этого мероприятия некоторое снаряжение для следующего. Сейчас удалю колонку.
Для разнообразия.
Кстати о соли:цифра взята с упаковки соли. И еще хотел спросит спросить о такой соли. . Вроде очень положительные отзывы.
С возможностью, например, расшарить раскладку на весь мир
Ужеж все "украдено до нас"(с)
раскладка 610 г на человека в день для горного похода выглядит не реально. Хорошо бы ее привязать к килоколориям. Мне кажется, у Леши Алексеева рекомендуется 800-900 г.
И 16 кг личного снаряжения? 10-ти вполне хватает.
С таким же успехом можно сказать "Высота Эвереста 8848 выглядит нереально",
в одной из книжек написано 5000 м."
Я не всегда включаю планирование питания в отчеты. Но вот в эти включил:
Отчет о памирском марафоне 2009
Отчет о походе с восхождением на Конгур
И 16 кг личного снаряжения? 10-ти вполне хватает.
Вы когда-нибудь взвешивали ВСЕ вещи? Все, все, все?
Вот мой список личного снаряжения в прошлогодний поход 2 к.с.. По нему я буду собираться и сейчас.
Помогите, может уговорите от чего-то отказаться...
Там всего две пары оптических. Одна на носу, другая запасная.
И еще темные очки с защитой бокового света, которые надеваются поверх оптических.
Привлекли внимание две пенки. Ижевские?
Я мерзлючая настолько, что на снегу чувствую холод снизу попой сквозь спальник, если положить два стандартных ижевских коврика и надеть поларовые штаны. Приходилось прокладывать рюкзак.
В прошлом году на Ленина купили коврики термалтейк, которые в рулон сворачиваются. Мне - шириной 50см и толщиной 2см, мужу - 60см и 1,5см. Заявлены они по 500гр(но надо взвесить, конечно). Но это офигенно - на свой я могла садиться просто в термобелье и не чувствовала холода, что на 5400, что на 6100. Спать тоже было тепло, ничего не подкладывала.
Минусы этих ковриков - их объем, дороже ижевских, конечно, и можно спариться, если жара :)
А ссылочку можно?
А то через поисковик лезут автомобильные коврики и коврики для мышек (ЭВМ)..
Мужу Ridgerest Solite L, мне RidgeRest Solar R.
Мы включаем еще один столбец в таблицы общего веса (или личного снаряжения): "на леднике". Поясню, смысл в максимально равномерном распределении веса во все моменты движения между участниками.
Тот, у кого веревка, достает ее на леднике и, БАЦ! -3кг! И побежал ;), а палатка так и остается у его коллеги.
Имеет смысл конечно все не до грамм считать, но позволяет оптимизировать в ключе : "Петя, на леднике, когда ты достанешь веревку, заберешь у Васи бутылку с бензином". Несложно и эффективно.
Смотрите, было ж ведь очень бурное обсуждение этого вопроса: здесь,
здесь и здесь. Там Ваши комментарии по поводу снаряги были бы очень даже уместны. А здесь ведь тема сообщения другая - не что, а как.
Или Геркулес (Экстра) молочный все-же предпочтительнее?
Вопрос риторический, но интересует опыт-мнение..
ЗЫ
Упомянутая лопата (№ 1 Фискарс) - это как на фото?
ЕЕ пластиковая ручка держит мороз?
И штык годится, не слабый?
Заявленный вес = 500г, неразборная, длина = 710мм
(еще бы цену ее в пару раз понизить...)
Ничего не трескается, зимой ходила. Рукоятка удобная.
Совок тоже хорош. Видел только на одной волнистость, но это от агресивного загребания камней :)
Мы еще сверлим 4-5 отверстий для использования в роли якоря/сдергиваемого якоря (походах еще не сдергивал :) но на тренеровках вполне отлично работала)
Т.е., если нужно вонзать лопату с ударом, то она не вонзается - во-первых, туповата, во-вторых дюраль играть начинает.
Лопата Snow Eco
Длина 36 см + ручка (убирается)
Размер лезвия - 28х21см
Вес = 590г
(для меня их цена одинакова выходит - примерно 1100р)
Снежные лопаты берём другие, складные, полностью металлические.
Наша раскладка на походы группой была от 600 до 650гр, нормально хватало, а вот когда вдвоем - столько не съедаем, в последний раз уменьшала до 500 гр и все равно осталось.
Причем норма крупы обычно рассчитывается от размера упаковки пакета, то есть на завтрак обычно 62,5, а на ужин - что найдем, 90 или 100гр :)
Как уложиться в горный поход в личняк 10кг (выше предлагают), не представляю. Обычно 18-19 и без снегоступов.
Видал подобное в старых книгах - а тут - все современное и под наши цены/вес.
Спасибо!
Вторая вещь, подобная черному тмину, но для лечения болячек перед попаданием в больницу - корни барбариса. Ягоды не содержат алкалоидов. 15-30 г сухих корней в виде отвара внутренне, 30 г/день. В Москве также есть в продаже его экстракт, препарат Берберин. Но его надо против инфекции в лекарственных целях дозы 400 мг/день, как писали индусы - то есть аж 80 таблеток. И цена выходит волшебная. Проверять не предлагаю, 30 грамм корней соответствуют 200-300 мг, это я пробовал и это ядрено. Однако спектр действия барбариса против кишечных дряней не уступает цифрану. Может давить даже кишечных амеб.
И барбарис и черный тмин обладают желчегонным эффектом и их применение при ЖКБ чревато серьезными осложнениями. Хотя я знаю случай беспроблемного применения их при ЖКБ. В терапевтических целях больше исследован барбарис, а черный тмин известен больше тем, что его медики пробуют против рака кишечника и поджелудочной.
Огромный труд!
СПАСИБО!
2.5 литра спирта, 2.9 кг колбасы и 2.5 кг лимонов в сахаре, т.е закусь к спирту..
Опасное сочетание :))))
А если серьезно, то спасибо!
Могу по почте выслать, кидайте в личку адрес!